-
[ML개념] Multi-class classification머신러닝 || 딥러닝 2022. 8. 11. 10:26
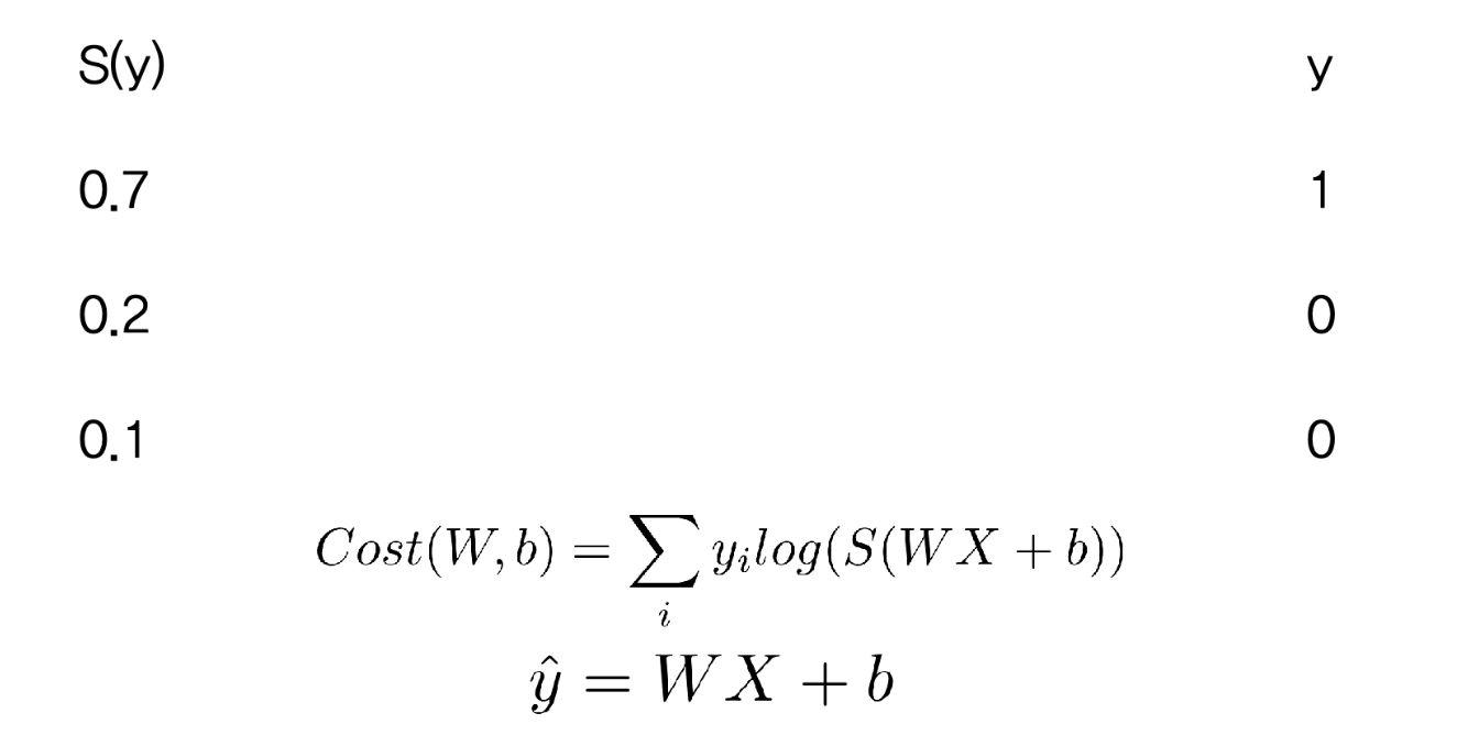
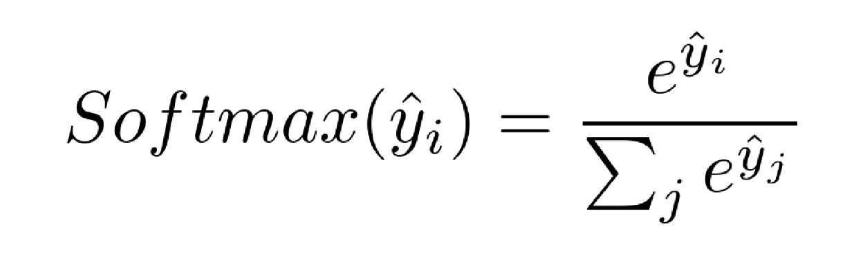
Hypothesis
where G is
Cost funtion
'머신러닝 || 딥러닝' 카테고리의 다른 글
[DL개념] MLP (multi layer perceptron) (0) 2022.08.11 [ML개념] binary vs multi-class classification (0) 2022.08.11 [ML개념] binary classification / logistic regression (0) 2022.08.11 [ML개념] Linear regression (0) 2022.08.11 [ML개념] ML problem 정의 (0) 2022.08.11